Épreuve ultime

Modélisation et approximation du volume d’une ampoule basse consommation

Signaler

Énoncé

Dans cet exercice, on s’intéresse au volume d’une ampoule basse consommation.

Partie A - Modélisation de la forme de l’ampoule

Le plan est muni d’un repère orthonormé (O ; i , j)(O~;~\vec i~,~\vec j).
On considère les points A(1 ; 1)A(-1~;~1), B(0 ; 1)B(0~;~1), C(4 ; 3)C(4~;~3), D(7 ; 0)D(7~;~0), E(4 ; 3)E(4~;~-3), F(0 ; 1)F(0~;~-1) et G(1 ; 1)G(-1~;~-1).
On modélise la section de l’ampoule par un plan passant par son axe de révolution à l’aide de la figure ci-dessous :

picture-in-text

La partie de la courbe située au-dessus de l’axe des abscisses se décompose de la manière suivante :
• la portion située entre les points AA et BB est la représentation graphique de la fonction constante hh définie sur l’intervalle [1 ; 0][-1~;~0] par h(x)=1h(x)=1 ;
• la portion située entre les points BB et CC est la représentation graphique d’une fonction ff définie sur l’intervalle [0 ; 4][0~;~4] par f(x)=a+bsin(c+π4x)f(x)=a+b\sin\left(c+\dfrac{\pi}{4}x\right)aa, bb et cc sont des réels non nuls fixés et où le réel cc appartient à l’intervalle [0 ; π2]\left[0~;~\dfrac{\pi}{2}\right] ;
• la portion située entre les points CC et DD est un quart de cercle de diamètre [CE][CE].

La partie de la courbe située en dessous de l’axe des abscisses est obtenue par symétrie par rapport à l’axe des abscisses.

1.a) On appelle ff' la fonction dérivée de la fonction ff. Pour tout réel xx de l’intervalle [0 ; 4][0~;~4], déterminer f(x)f'(x).

b) On impose que les tangentes aux points BB et CC à la représentation graphique de la fonction ff soient parallèles à l’axe des abscisses. Déterminer la valeur du réel cc.

  1. Déterminer les réels aa et bb.

Partie B - Approximation du volume de l’ampoule

Par rotation de la figure précédente autour de l’axe des abscisses, on obtient un modèle de l’ampoule. Afin d’en calculer le volume, on la décompose en trois parties comme illustré ci-dessous :

picture-in-text

On rappelle que :
• le volume d’un cylindre est donné par la formule πr2h\pi r^2hrr est le rayon du disque de base et hh est la hauteur ;
• le volume d’une boule de rayon rr est donné par la formule 43πr3\dfrac{4}{3}\pi r^3.

On admet également que, pour tout réel xx de l’intervalle [0 ; 4][0~;~4], f(x)=2cos(π4x)f(x)=2-\cos\left(\dfrac{\pi}{4}x\right).

  1. Calculer le volume du cylindre de section le rectangle ABFGABFG.

  2. Calculer le volume de la demi-sphère de section le demi-disque de diamètre [CE][CE].

  3. Pour approcher le volume du solide de section la zone grisée BCEFBCEF, on partage le segment [OO][OO'] en nn segments de même longueur 4n\dfrac{4}{n} puis on construit nn cylindres de même hauteur 4n\dfrac{4}{n}.

a) Cas particulier : dans cette question uniquement on choisit n=5n=5.
Calculer le volume du troisième cylindre, grisé dans les figures ci-dessous, puis en donner la valeur arrondie à 10210^{-2}.

picture-in-text

b) Cas général : dans cette question, nn désigne un entier naturel quelconque non nul.
On approche le volume du solide de section BCEFBCEF par la somme des volumes des nn cylindres ainsi créés en choisissant une valeur de nn suffisamment grande.
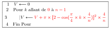
Recopier et compléter l’algorithme suivant de sorte qu’à la fin de son exécution, la variable VV contienne la somme des volumes des nn cylindres créés lorsque l’on saisit nn.

picture-in-text

Révéler le corrigé

Partie A - Modélisation de la forme de l'ampoule

  1. a) Pour tout xx de l'intervalle [0 ; 4][0~;~4],

f(x)=[a+bsin(c+π4x)]f'(x)=\left[a+b\sin\left(c+\dfrac{\pi}{4}x\right)\right]'


f(x)=a+b[sin(c+π4x)]\phantom{f'(x)}=a'+b\left[\sin\left(c+\dfrac{\pi}{4}x\right)\right]'


f(x)=0+b×(c+π4x)cos(c+π4x)\phantom{f'(x)}=0+b\times\left(c+\dfrac{\pi}{4}x\right)'\cos\left(c+\dfrac{\pi}{4}x\right)


f(x)=b×π4×cos(c+π4x)\Longrightarrow\boxed{f'(x)=b\times\dfrac{\pi}{4}\times\cos\left(c+\dfrac{\pi}{4}x\right)}

  1. b) Les tangentes aux points BB et CC à la représentation graphique de la fonction ff sont parallèles à l'axe des abscisses.
    Leurs coefficients directeurs sont donc nuls.

D’ouˋ  {f(0)=0f(4)=0{b×π4×cos(c+π4×0)=0b×π4×cos(c+π4×4)=0\text{D'où }\ \left\lbrace\begin{matrix}f'(0)=0\\ f'(4)=0\end{matrix}\right.\Longleftrightarrow\left\lbrace\begin{matrix}b\times\dfrac{\pi}{4}\times\cos(c+\dfrac{\pi}{4}\times0)=0\\ \\ b\times\dfrac{\pi}{4}\times\cos(c+\dfrac{\pi}{4}\times4)=0\end{matrix}\right.

D’ouˋ  {f(0)=0 f(4)=0{b×π4×cosc=0b×π4×cos(c+π)=0   (avec b0)\phantom{\text{D'où }\ \left\lbrace\begin{matrix}f'(0)=0\ f'(4)=0\end{matrix}\right.}\Longleftrightarrow\left\lbrace\begin{matrix}b\times\dfrac{\pi}{4}\times\cos c=0\\ \\ b\times\dfrac{\pi}{4}\times\cos(c+\pi)=0\end{matrix}\right.\ \ \ (\text{avec } b\neq0)

D’ouˋ  {f(0)=0f(4)=0{cosc=0cos(c+π)=0{cosc=0cosc=0\phantom{\text{D'où }\ \left\lbrace\begin{matrix}f'(0)=0\\ f'(4)=0\end{matrix}\right.}\Longleftrightarrow\left\lbrace\begin{matrix}\cos c=0\\ \cos(c+\pi)=0\end{matrix}\right.\Longleftrightarrow\left\lbrace\begin{matrix}\cos c=0\\ -\cos c=0\end{matrix}\right.

D’ouˋ  {f(0)=0 f(4)=0cosc=0   (avec c[0 ; π2])\phantom{\text{D'où }\ \left\lbrace\begin{matrix}f'(0)=0\ f'(4)=0\end{matrix}\right.}\Longleftrightarrow\cos c=0\ \ \ (\text{avec } c\in[0~;~\dfrac{\pi}{2}])

c=π2\Longleftrightarrow\boxed{c=\dfrac{\pi}{2}}

  1. En utilisant le résultat de la question 1. b., nous savons que pour tout xx de l'intervalle [0 ; 4][0~;~4], f(x)=a+bsin(π2+π4x)f(x)=a+b\sin(\dfrac{\pi}{2}+\dfrac{\pi}{4}x)

Or les points B(0 ; 1)B(0~;~1) et C(4 ; 3)C(4~;~3) appartiennent à la représentation graphique de la fonction ff sur l'intervalle [0 ; 4][0~;~4].

Donc {f(0)=1f(4)=3{a+bsin(π2+π4×0)=1a+bsin(π2+π4×4)=3\text{Donc }\left\lbrace\begin{matrix}f(0)=1\\ f(4)=3\end{matrix}\right.\Longleftrightarrow\left\lbrace\begin{matrix}a+b\sin(\dfrac{\pi}{2}+\dfrac{\pi}{4}\times0)=1\\ \\ a+b\sin(\dfrac{\pi}{2}+\dfrac{\pi}{4}\times4)=3\end{matrix}\right.

{a+bsinπ2=1a+bsin(π2+π)=3\Longleftrightarrow\left\lbrace\begin{matrix}a+b\sin\dfrac{\pi}{2}=1\\ \\ a+b\sin(\dfrac{\pi}{2}+\pi)=3\end{matrix}\right.

{a+b×1=1a+b×(1)=3{a+b=1ab=3\Longleftrightarrow\left\lbrace\begin{matrix}a+b\times1=1\\ a+b\times(-1)=3\end{matrix}\right.\Longleftrightarrow\left\lbrace\begin{matrix}a+b=1\\ a-b=3\end{matrix}\right.

{a=1bab=3{a=1b1bb=3\Longleftrightarrow\left\lbrace\begin{matrix}a=1-b\\ a-b=3\end{matrix}\right.\Longleftrightarrow\left\lbrace\begin{matrix}a=1-b\\ 1-b-b=3\end{matrix}\right.

{a=1b2b=2{a=1bb=1\Longleftrightarrow\left\lbrace\begin{matrix}a=1-b\\ -2b=2\end{matrix}\right.\Longleftrightarrow\left\lbrace\begin{matrix}a=1-b\\ b=-1\end{matrix}\right.

{a=1+1b=1{a=2b=1\Longleftrightarrow\left\lbrace\begin{matrix}a=1+1\\ b=-1\end{matrix}\right.\Longleftrightarrow\boxed{\left\lbrace\begin{matrix}a=2\\ b=-1\end{matrix}\right.}

Par conséquent, pour tout xx de l'intervalle [0 ; 4][0~;~4], f(x)=2sin(π2+π4x)f(x)=2-\sin(\dfrac{\pi}{2}+\dfrac{\pi}{4}x) ou encore f(x)=2cos(π4x)\boxed{f(x)=2-\cos\left(\dfrac{\pi}{4}x\right)}.

Partie B - Approximation du volume de l'ampoule

  1. Calculons le volume du cylindre de section le rectangle ABFGABFG.
    Le rayon de ce cylindre est OB=1OB=1 et la hauteur est AB=1AB=1.
    D'où le volume de ce cylindre est :

VCylindre=π×OB2×ABV_{\text{Cylindre}}=\pi\times OB^2\times AB
VCylindre=π×12×1\phantom{V_{\text{Cylindre}}}=\pi\times1^2\times1
VCylindre=π\phantom{V_{\text{Cylindre}}}=\pi

VCylindre=π u. v.\Longrightarrow\boxed{V_{\text{Cylindre}}=\pi\ \text{u. v.}}

  1. Calculons le volume de la demi-sphère de section le demi-disque de diamètre [CE][CE].
    Le rayon de la demi-sphère est OC=3O'C=3.
    D'où le volume de la demi-sphère est :

VDemi-spheˋre=12×43×π×OC3V_{\text{Demi-sphère}}=\dfrac{1}{2}\times\dfrac{4}{3}\times \pi\times O'C^3
VDemi-spheˋre=12×43×π×33\phantom{V_{\text{Demi-sphère}}}=\dfrac{1}{2}\times\dfrac{4}{3}\times \pi\times 3^3
VDemi-spheˋre=18π\phantom{V_{\text{Demi-sphère}}}=18\pi

VDemi-spheˋre=18π u. v.\Longrightarrow\boxed{V_{\text{Demi-sphère}}=18\pi\ \text{u. v.}}

  1. a) Calculons le volume du troisième cylindre grisé dans la figure.
    Le segment [OO][OO'] de longueur 44 est partagé en 55 segments de même longueur.
    La longueur de chaque segment est alors égale à 45\dfrac{4}{5}, qui représente également la hauteur de chaque cylindre grisé.
    Les rayons des 55 cylindres sont donnés par f(0)f\left(0\right), f(45)f\left(\dfrac{4}{5}\right), f(85)f\left(\dfrac{8}{5}\right), f(125)f\left(\dfrac{12}{5}\right) et f(165)f\left(\dfrac{16}{5}\right).
    D'où le volume du troisième cylindre grisé est :

VTroisieˋme cylindre=π×[f(85)]2×45V_{\text{Troisième cylindre}}=\pi\times\left[f\left(\dfrac{8}{5}\right)\right]^2\times\dfrac{4}{5}
VTroisieˋme cylindre=π×[2cos(π4×85)]2×45\phantom{V_{\text{Troisième cylindre}}}=\pi\times\left[2-\cos\left(\dfrac{\pi}{4}\times\dfrac{8}{5}\right)\right]^2\times\dfrac{4}{5}
VTroisieˋme cylindre=π×[2cos(2π5)]2×45\phantom{V_{\text{Troisième cylindre}}}=\pi\times\left[2-\cos\left(\dfrac{2\pi}{5}\right)\right]^2\times\dfrac{4}{5}
VTroisieˋme cylindre7,186515152\phantom{V_{\text{Troisième cylindre}}}\approx7,186515152

VTroisieˋme cylindre7,19 u. v. (arrondi aˋ 102)\Longrightarrow\boxed{V_{\text{Troisième cylindre}}\approx7,19\ \text{u. v. (arrondi à }10^{-2})}

  1. b) A l'instar du cas particulier traité dans la question 3a), nous savons que le segment [OO][OO'] de longueur 44 est partagé en nn segments de même longueur.
    La longueur de chaque segment est alors égale à 4n\dfrac{4}{n}, qui représente également la hauteur de chaque cylindre grisé.
    Les rayons des nn cylindres sont donnés par f(0)f(0), f(4n)f(\dfrac{4}{n}), f(2×4n)f(2\times\dfrac{4}{n}), f(3×4n)f(3\times\dfrac{4}{n}), …, f((n1)×4n)f((n-1)\times\dfrac{4}{n}).
    D'où l'algorithme complété :

picture-in-text

Quel contenu veux-tu voir ?