I. La distributivité
Exemple :
Je veux calculer . Je pourrais dire que cela est égal à ce qui fait .
Autre manière grâce à la distributivité : je vais distribuer le sur chaque terme de la parenthèse.
Calculons maintenant le membre de droite.
Je retrouve bien le trouvé en calculant le membre de gauche. ces deux expressions sont donc bien égales.
On dit que j'ai distribué le sur chaque terme de l'addition .
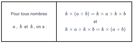
Dans le cas général, cela peut s'écrire :
On dit que la multiplication est distributive par rapport à l'addition.
J'ai transformé un produit en une somme.
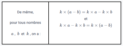
On dit que la multiplication est distributive par rapport à la soustraction.
Lu dans "l'autre sens", je transforme une somme ou une différence en un produit.
II. Exemples corrigés
On peut appliquer ces égalités :
pour transformer un produit en une somme :
F =
F =
F =
F =
F =
G =
G =
G =
G =
G =
pour transformer une somme en un produit :
H =
H =
H =
H =
I =
I =
I =
I =
III. Un peu de vocabulaire
Pour une addition :
et pour une différence :
