On considère l'équation
(E):z3−9z2+(22+12i)z−12−36i=0
1. Montrons que (E) admet une solution réelle z0.
z0∈R est solution de (E) ⟺
z03−9z02+(22+12i)z0−12−36i=0
⟺z03−9z02+22z0+12iz0−12−36i=0
⟺(z03−9z02+22z0−12)+(12z0−36)i=0
⟺{z03−9z02+22z0−12=012z0−36=0
⟺{z03−9z02+22z0−12=0z0=3
Or 33−9⋅32+22⋅3−12=27−81+66−12=0.
Donc (E) admet la solution réelle z0=3.
2. Montrons que (E) admet une solution imaginaire pure z1.
Soit z1=iy avec y∈R.
(iy)3−9(iy)2+(22+12i)(iy)−12−36i=0
⟺−iy3+9y2+22iy−12y−12−36i=0
⟺(9y2−12y−12)−(y3−22y+36)i=0
⟺{3y2−4y−4=0y3−22y+36=0
Racines : y1=64−8=−32, \quad y2=64+8=2.
Si y=−32, on obtient −27584=0.
Si y=2, 23−22⋅2+36=8−44+36=0.
Donc (E) admet une solution imaginaire pure z1=2i.
3. Résolvons (E).
On sait que 3 et 2i sont solutions.
On factorise :
z3−9z2+(22+12i)z−12−36i=(z−3)(z−2i)(az+b), avec a,b∈C.
Comparons les coefficients :
Donc b=6i−12−36i=−6+2i.
Ainsi :
z3−9z2+(22+12i)z−12−36i=(z−3)(z−2i)(z−6+2i).
Donc :
(E)⟺(z−3)(z−2i)(z−6+2i)=0
Solutions : z=3 ou z=2i ou z=6−2i.
Ensemble des solutions :
S={3, 2i, 6−2i}
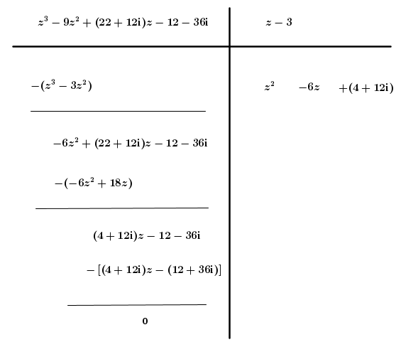
Alternative : après avoir trouvé la racine réelle z0=3 traitement par division euclidienne

On pose la division euclidienne de P(z)=z3−9z2+(22+12i)z−12−36i par z−3 (après avoir trouvé la racine réelle z0=3).
Étapes de la division posée (soustractions écrites ligne à ligne)
P(z)=z3−9z2+(22+12i)z−12−36i
on retire (z−3)z2=z3−3z2
⇒−6z2+(22+12i)z−12−36i
on retire (z−3)(−6z)=−6z2+18z
⇒(4+12i)z−12−36i
on retire (z−3)(4+12i)=(4+12i)z−(12+36i)
⇒0
Quotient obtenu : Q(z)=z2−6z+(4+12i), reste 0.
Donc P(z)=(z−3)(z2−6z+(4+12i)).
Factorisation du quotient
z2−6z+(4+12i)=(z−2i)(z−6+2i).
En conséquence
(E)⟺(z−3)(z−2i)(z−6+2i)=0,
solutions : z=3, z=2i, z=6−2i.