Lycée
04 78 53 26 11
(appel gratuit)
Se connecter
J'essaie gratuitement
Accueil
Activer un code
Academy
Rejoins la communauté !
Voir les devoirs
Pose une question
Poste une ressource
Révisions
Seconde : cours et quiz de révision
Français
Histoire-Géographie
SES
SVT
Physique-chimie
Mathematiques
SNT
Première : cours et quiz de révision
Première générale
Première STMG
Première STI2D
Première STL
Première ST2S
Terminale : cours et quiz de révision
Terminale générale
Terminale STMG
Terminale STI2D
Terminale STL
Terminale ST2S
Bac pro : cours et quiz de révision
PSE
Économie et droit
Économie et gestion
Physique-chimie
Français
Histoire-géographie
Anglais
Mathématiques
Examen
Présentation
Bac général
Annales
Bac
Simulateurs de notes
Bac général
Bac technologique
Dates d'examen
Bac général
Bac technologique
Sujets probables
Bac général
Bac technologique
Parcoursup
Outils
Aides au calcul
Calculer une aire
Calculer une équation du second degré
Calculer une masse molaire
Calculer une moyenne pondérée
Calculer un perimètre
Calculer un pourcentage
Calculer un taux d'évolution
Convertir des unités de mesure
Calculer un volume
Kit d'apprentissage
Verbes irréguliers anglais
Conjugueur
Flashcards
Classements
Lycées
Agenda
Dates des salons, JPO, concours...
Pack bac de Français
Articles
Actualités pour le lycée
Calendrier des vacances scolaires
Comment avoir une mention au bac ?
Comment préparer son grand oral ?
Passer le bac en candidat libre
Calendrier Parcoursup
Lycee
Terminale generale
Mathematiques expertes
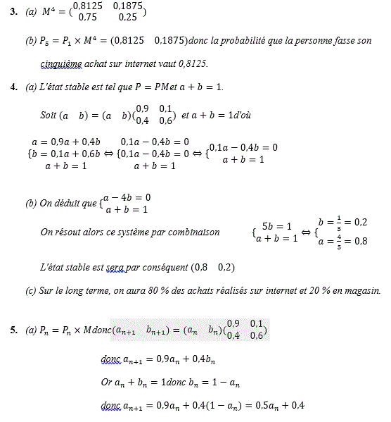
Graphe probabiliste, matrice et chaîne de Markov (4)
Entraînement
Graphe probabiliste, matrice et chaîne de Markov (4)
Signaler
Énoncé
Révéler le corrigé
Exercice précédent
Graphe probabiliste, matrice et chaîne de Markov (3)
Exercice suivant
Pour aller plus loin : l'algorithme de Dijkstra pour calculer un nombre de chemins